六位数密码所有的排列顺序
的有关信息介绍如下:六位数密码所有的排列顺序:******
每位数可从0~9随机挑选,故共有10^6种排列顺序。
关于排列组合
排列组合是组合学最基本的概念。所谓排列,就是指从给定个数的元素中取出指定个数的元素进行排序。组合则是指从给定个数的元素中仅仅取出指定个数的元素,不考虑排序。
排列的定义
从n个不同元素中,任取m(m≤n,m与n均为自然数,下同)个元素按照一定的顺序排成一列,叫做从n个不同元素中取出m个元素的一个排列;从n个不同元素中取出m(m≤n)个元素的所有排列的个数,叫做从n个不同元素中取出m个元素的排列数,用符号 A(n,m)表示。
计算公式:


此外规定0!=1(n!表示n(n-1)(n-2)...1,也就是6!=6x5x4x3x2x1[1]
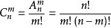
组合的定义
从n个不同元素中,任取m(m≤n)个元素并成一组,叫做从n个不同元素中取出m个元素的一个组合;从n个不同元素中取出m(m≤n)个元素的所有组合的个数,叫做从n个不同元素中取出m个元素的组合数。用符号 C(n,m) 表示。
计算公式:

C(m,n)=C(n-m,n)。(n≥m)



